二次有机气溶胶光学性质研究的新进展
利用我们研制的光腔衰荡光谱仪(Chinese Sci. Bull., 2012, 57, 2567),结合烟雾箱模拟实验系统,开展了系列重要芳香烃生成的二次有机气溶胶(SOA)的光学性质研究,研究结果近期发表在国际期刊Scientific Reports上(Sci. Rep.2014, 4, 4922)。
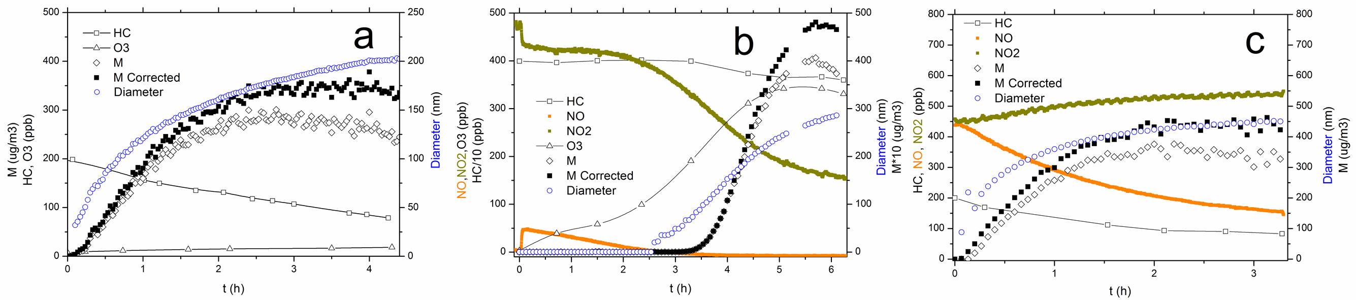
我们选取北京地区大气中SOA生成贡献较高的人为污染物——苯、甲苯、乙苯、间二甲苯(BTEX),分别研究了在低NOx和高NOx条件下所生成的二次粒子的生成特点(图1)。研究发现,高浓度NOx条件下的氧化过程对大气氧化性增强贡献更大,并且能产生粒径更大的二次颗粒物。通过研究所得二次颗粒物的形貌和相态,发现颗粒近似液态,在空气中悬浮时可以球形存在。


图1 不同NOx条件下的反应切面图
分别测量了不同NOx浓度条件下BTEX二次粒子的光学性质(图2)。在三种条件下,间二甲苯都表现出最大的消光系数,分析指出这是因为其具有最大的反应活性,所生成的二次粒子的粒径最大。发现当NOx浓度升高时,苯、甲苯、乙苯和间二甲苯二次粒子的复折射率是变化的,认为由于不同反应路径所造成的成分差异导致了光学性质的改变。研究揭示,使用单一的二次有机气溶胶复折射率估算全球辐射平衡是不恰当的,根据区域NOx浓度的变化需要进行调整。

图2 不同NOx条件下二次粒子的光学性质曲线
将实验所测得的二次有机气溶胶复折射率与目前大气模型所假定的值进行了对比,发现无论是对主要的天然源还是人为源SOA,当前七种主要的大气模


图3 SOA复折射率的实验值与模式假定值的比较
式(图3中的三条直线)均在一定程度上过高估计了二次有机气溶胶的复折射率。我们的研究首次给出了这些重要人为源SOA的复折射率的实测值,为研究SOA对大气能见度和全球辐射平衡的影响提供了重要参数。